|
|
摘要:本文基于2017年全国流动人口卫生计生动态监测调查数据,利用结构方程模型,剖析流动人口的社会经济属性和流出地对其流入地选择和住房结果的影响。研究发现,不同“地理出身”的流动人口在流入地的住房存在显著分化,流入地的城市等级不仅对流动人口的住房产权获得有直接影响,还发挥着重要的中介作用。本文着眼于住房不平等的地理空间根源,在理论上尝试构建地理流动与社会流动的关联,研究结果对进一步优化面向新生代流动人口的住房政策和制度具有重要政策含义。
关键词:住房产权/流出地/流入地/新生代流动人口;
作者简介:穆学英、崔璨、崔军茹,华东师范大学中国现代城市研究中心、华东师范大学中国行政区划研究中心、荷兰阿姆斯特丹大学地理、规划与国际发展研究系
一、引言
流动人口是我国新型城镇化发展的主力军和核心推动力。伴随着其规模增长和年龄结构的转变,出生于20世纪80年代、90年代的新生代流动群体成为各城市发挥人口红利、实现人力资本积累的核心群体,受到学者们的广泛关注。与老生代流动人口相比,新生代流动人口在受教育水平、就业领域和职业地位、流动时间和距离、对城市生活的适应程度和社会保障需求等方面都呈现明显不同,在城市定居的意愿也较为强烈。然而,新生代流动人口,尤其是新生代农村流动人口受到户籍制度的“双二元性”限制,具有外地户籍和农村户籍的双重劣势:一方面,他们在享受城市居民福利和权利、实现市民化和社会融入等方面面临较大困境;另一方面,由于对家乡的乡土认同减弱,他们常处于“融不进城市、回不去家乡”的尴尬境地。
作为安居乐业的根本和基础,住房不仅决定着新生代流动人口的生存境遇,还影响着他们的财富积累和社会地位获得。住房的市场化和金融化强化了住房的财富效应和金融投资属性,而区域发展的不平衡造成了土地价值和住房价格在地理空间上的差异,能够在什么样的地方获得住房直接决定了居民经济资本的积累。此外,在城市户籍制度的影响下,住房与城市落户、子女入学等重要城市福利和社会保障挂钩,成为居民享受城市社会公共服务的必要条件,尤其是在大城市,住房的权利属性也愈加凸显,这在一定程度上影响着流动人口在流入地的社会交往、社会融合以及居留决策。能否在流入地获得住房以及在什么等级的城市获得住房,成为透析现阶段社会阶层分化的重要视角,关系着农业转移人口市民化这一重要民生工程的进程和我国新型城镇化战略的质量和成败。因此,了解新生代农村流动人口的流动状况,探究他们在不同流入地的住房分化情况,有助于优化面向新生代农村流动人口的住房政策,提出更具针对性的政策建议。
中国各城市和地区之间在社会经济、住房市场和政策制度等方面存在明显差异,一定程度上凸显了流出地和流入地城市的重要性,这对于解析流动人口的住房分化具有重要意义,但在现有研究中较少受到关注。从流出地看,空间机会结构以及“出生地效应”(birthplace effect)指出,个体成长环境在社会经济发展、劳动力市场、基础设施等方面的差异决定着个体可获得的教育、工作等资源,对个体的认知能力、社会和经济资本的积累具有显著影响。从流入地看,流入城市的住房市场和政策等也是影响新生代农村流动人口住房产权获得的关键因素。流入大城市的流动人口,除了承受较大的购房经济压力外,还有可能受户籍制度的限制,被排斥于住房保障系统之外。此外,流动人口的迁移决策并不是随机的,其本质上是个人对成本和收益进行比较并追求更高效用的结果。流出地和流入地在社会经济发展水平上的差距是人口从一地流向另一地的主要原因。来自不同地区、具有不同社会经济属性的流动人口选择的流入地不同,由此形成流入地住房结果的差异。
本文关注由于资源配置和社会经济发展在地区间的不均衡对个体发展产生的结构性影响,从而导致的住房分化和社会分层现象。基于2017年全国流动人口卫生计生动态监测调查数据,本研究聚焦新生代农村流动人口,展示其流动的网络和格局,探究不同流出地、流入地的人口在流入地的住房分化。利用结构方程模型,剖析流动人口的社会经济属性和流出地如何影响其流入地选择,并进而影响其住房产权获得。通过理解流动人口住房分化的机制,本研究旨在把握该群体实现“安居梦”的核心症结,以期为优化各地区的住房政策,缓解新生代农村流动人口的住房困境以及推进新型城镇化进程提供参考和依据。
二、文献综述与研究
假设住房代表着独立于职业之外的生活机会,是透视现阶段中国社会贫富差距和阶层分化的重要工具。在以往的住房分层研究中,学者们主要围绕市场与制度两大因素,探究本地人口与外来人口之间的住房分化。一些学者认为,住房分化是人们在劳动力市场中位置差异的结果,将流动人口在城市中面临的住房困境归因于其较低的社会地位,强调市场因素的重要性。另一些学者认为,形成于计划经济时期的户籍制度、单位制、劳动工制度等制度性因素仍是住房分化的根源,在一定程度上阻碍了某些流动群体对特定资源以及特定成员身份的获取。特别是在大城市,户籍与城市公共服务、购房资格紧密捆绑,流动人口在购房以及保障性住房的获取上处于劣势,市场租赁或者非正规租赁住房成为常态。
近年来,随着中国城市产业转型及高等教育的普及,农村流动人口不再是一个高度同质化的群体,人员构成逐渐多元化,不仅在受教育水平、职业地位等方面表现出明显分化,流出地和流入地也日益多元化。不同社会经济发展水平的流出地与流入地为流动人口提供的机会结构存在显著差异,这对理解流动人口的住房分化具有重要意义。在已有的住房分化研究中,这一因素往往被忽视。
(一)社会不平等的地理空间根源
地理位置、地理环境和地区发展等方面的差别,使原本处于大致相同生活状况的社会成员因所处地理空间位置和资源的差异而落入收入差距拉大的境地,从而影响其阶层地位、社会交往和社会流动。生活机遇、空间机会结构等概念的提出为理解地理空间作用于社会个体层面的不平等提供了理论支撑。韦伯提出“生活机遇”(life chances)的概念,强调不同地理空间具有不同的“生活机遇”和资源,为个人发挥技术、知识专长和把财富转变成资本提供可能性,对不同空间的占有成为阶级结构形成的基础之一。承袭韦伯以市场中的生活机遇来划分阶级的观点,雷克斯和摩尔认为稀缺且理想的住房资源的分配创造了新的生活机遇不平等模式,不同类型的住房、居住空间和不同的生活机遇相联系,形成特定的住房阶级。帕尔进一步提出,资源在空间分配上的不平等意味着不同的生活机遇,强调城市资源分配的重要性。无论是雷克斯还是帕尔,都意识到空间作为一种差异性的“生活机遇”对社会不平等的建构。个体的居住空间和生活空间被理解为可以影响个体接触和获取基础公共服务、教育、工作等资源和实现社会流动的“机遇”。此外,加尔斯特和沙基在“邻里效应”(neighborhood effect)的基础上提出了“空间机会结构”(spatial opportunity structure)的概念,强调不同邻里、城市、大都市区以及地区之间在工作机会、教育资源、政策制度等方面存在的差异,由此产生的不同机会结构或“空间情境效应”(spatial context effects)影响个体对教育、工作及其他资源的获取。对空间的占有不仅反映了人们的社会阶层,还是阶层“再生产”的一种重要机制。
机遇不平等强调不同社会环境以及个体不可控的环境因素会造成群体间社会结果的差异。靳永爱和谢宇对中国社会中的机遇不平等进行了分析,强调特定的时间和地点所形成的不同社会环境是造成群体间社会结果差异的重要原因。其中,个体出生和成长的地理空间所构造的机遇对个体发展影响深远,既有可能为个体提供发展机会,也有可能成为其发展的限制。在发达地区的个体享受高质量的医疗、教育、就业资源的概率要远远高于生活在欠发达地区的个体,很大程度上决定了其教育、收入水平。不同居住地的政策、就业机会、人口环境等存在差异,这些因素影响着社会群体的分化。因此,不同地区或国家在市场、政策以及社会经济发展程度等方面存在的结构性的潜在机遇不平等应该受到关注。
无论是以韦伯、雷克斯、摩尔和帕尔等为代表的“新韦伯主义”强调的“生活机遇”,还是社会学家提出的空间机会结构和机遇不平等,都强调个体所在的地理空间对其自身社会经济地位获得的影响,凸显了社会不平等的地理空间根源。此外,在“流动社会”的背景下,地理流动在一定程度上改变了人们所处的地理空间及其所面临的机会和限制,影响着个体的社会流动。本研究中地理流动指人口在不同区域之间的流动,强调地理位置的变动,与社会流动强调社会成员在不同社会阶层结构中的流动有所区别。地理流动与社会流动往往紧密联系在一起。人们地理位置的变化,如从农村向城市迁移,或由小城市向大城市流动,往往影响着其就业机会、收入水平,关系着个体社会地位的变动,也会在一定程度上影响住房结果。本研究聚焦流动人口在流入城市的住房分化,接下来将分别从流出地、流入地来探讨地理空间与住房产权获得的关系。
(二)流出地与住房产权获得
上述提到的生活机遇、空间机会结构等概念,都在一定程度上强调个人成长的地理环境在社会、经济、体制等方面的差异对个体资本积累和实现社会成就的影响。另外,“出生地效应”(birthplace effect)也揭示了出生地影响个体社会经济发展水平的两种机制:出生地的等级不仅可以直接影响个体对资源的获取和人力资本的积累,还可以通过父母的社会经济特征以及地理空间赋予父母的资本,通过代际传递来间接影响子女对资源的获取和个体的社会经济属性。空间机会结构以及出生地效应等强调出生地在个人资本积累和实现向上社会流动过程中的重要作用,这为揭示来自不同流出地流动人口的住房分化提供了一个新视角。
在中国,区域差异通常可解释大部分阶层地位和机会的差异,区域间发展的不平衡造成了“社会空间等级”(social spatial hierarchy)现象,在一定程度上凸显了出生地对个人资源获取以及社会、经济资本积累的重要性。首先,城乡二元结构的存在造成了城乡在基础设施、居民收入、资源配置和福利待遇等各方面呈现等级差别。与来自城市的流动人口相比,来自农村的流动人口社会经济地位普遍较低,在流入地住房产权获得上的劣势也更为明显。其次,在中国,地区之间的差异不只体现在城乡之间,城市间在教育、医疗、基础设施等资源分配上的不均衡,大城市的“虹吸效应”以及收缩性中小城市的增多加剧了不同等级城市在社会经济发展水平、公共服务、社会保障等方面的差距。中国在资源配置和制度安排上存在显著的行政级别和层级差异。行政级别和层级更高的城市或区域拥有更多的政治资源,能够获得更多的税收优惠和基础设施建设投入,使不同行政等级和层级的城市或地区之间在社会经济发展上形成明显差距。基于对空间机会结构和出生地效应的理解,城市间在社会经济等方面的差异影响着居民原始资本的积累,并在一定程度上转化为个体间的社会分化。对此,本文提出第1个研究假设。
假设1:流出地的城市等级越高,流动人口所拥有的资源禀赋越多,其在流入地获得住房产权的概率越大;相较于来自市辖区和县级市的流动人口,来自县域的流动人口在流入地获得住房的可能性较低。
(三)流入地与住房产权获得
不同等级的城市在住房市场和住房政策上的差异为流动人口的住房获得提供了不同的机会结构,影响其获得住房产权的可能性。尽管已有学者探究了流入不同城市的流动人口在流入地的住房分化,然而关于流入地城市等级与流动人口住房产权获得之间的关系并没有形成一致结论。部分研究表明,相较于中小城市,大城市的房价收入比更高,流动人口的住房支付能力低,会降低其买房的可能性。此外,在特大城市中,严苛的户籍管理制度和房地产调控政策限制了流动人口的购房资格,流动人口基本被排斥于住房保障系统之外,租赁非正规住房成为流动人口的居住常态。与北京、上海等一线城市相比,新一线城市的流入人口更容易获得住房或租住公房。然而,也有学者发现,流入城市等级与流动人口住房产权获得之间并非简单的线性关系。相较于大城市和小城市,流入中等城市人口的购房概率较低,这可能是由于中等城市既没有大城市的吸引力,也没有小城市的房价优势。基于上述分析,本文提出第2个假设。
假设2:新生代农村流动人口流入地的城市等级对其住房产权获得有显著影响,且流入地城市等级与住房产权获得的概率并非简单的线性关系。
然而,流入地并不是任意选择的,而是流动人口在综合考虑流出地、流入地城市的“推力”和“拉力”作用下,根据自身的人力资本、能力水平以及发展需求做出的理性选择,是个体和城市双向选择的结果。不同流出地的人口在流入地选择上存在明显差异。有学者采用邻近性视角发现,流入地与流出地城市之间的地理距离以及制度、文化等方面的差距成为阻碍流动的重要因素。也有学者探究流出地的城市等级对流入地选择的影响,发现来自大都市区的人口流入大城市的比例较大,而来源地为中小城市的人口选择进入大城市工作可能会面临较大困难。除流出地外,能否实现向大城市流动还取决于个体的社会经济属性。研究发现,年轻、未婚、受教育水平高、高技能的人口更倾向流入社会经济发展水平较高的城市或区域。同时,流入地城市劳动力市场和户籍等政策对人口也具有选择性。在城市经济向创新型转型的现阶段,地方政府针对性地制定就业、落户和住房保障等政策以吸引“高质量”劳动力流入,从而也会导致不同特征流动人口在流入地选择上日趋分化。
地理流动为个体摆脱不平等的资源配置的空间结果所产生的约束、实现社会流动提供了重要途径。空间机会结构指出,个体可以通过选择将自己置于更好的空间机会结构中,从而增加将其禀赋转化为社会地位的可能性。菲尔丁提出的“扶梯区域”(escalator region)理论建立了地理流动与社会流动之间的关联。随后,大量研究证实了一些经济较为发达的大城市存在的“扶梯效应”,揭示了那些从职业发展机会较少、工资水平较低、生活质量低的地区迁移至职业发展机遇较好、生活机遇多、经济发达的“扶梯区域”的流动人口更容易获得较高的收入和经济回报率,实现其向上的社会流动。然而,“相对剥夺感”理论认为“往高处走”的人口,其感受到的“相对剥夺感”会随着流出地与流入地城市之间在经济发展、制度环境等方面差距的增大而愈加显著。
综上,本文提出第3个假设。
假设3:流入地城市选择对流入人口的住房产权获得存在中介作用。流出地等级、个体的社会经济属性通过影响流入地城市的选择,对住房产权获得产生的间接效应。那些向更高等级城市流动的人口不太容易在流入地获得住房产权。
三、研究设计与数据来源
(一)研究设计
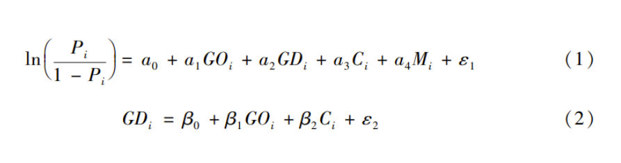
为了探究来自不同流出地、不同流入地城市、具有不同社会经济属性的流动人口之间的住房分化,本文采用结构方程模型来检验流动人口的流出地和流动人口的社会经济属性是否能通过影响流入地选择,对住房产权获得产生间接作用。广义结构方程模型是结构方程模型的延伸,可处理二分类、多分类的因变量和中介变量。鉴于本文的因变量“是否获得住房产权”为二分类变量,中介变量“流入地的城市等级”为多分类变量,故构建广义结构方程模型对新生代农村流动人口在流入地的住房产权状况进行分析。

在式(1)中,Pi表示新生代农村流动人口i在流入地城市获得住房产权的概率;GOi表示流出地特征,包括流出地的城市等级和县级行政区类型;GDi为中介变量,即流入地城市选择,具体用流入地的城市等级来表示;Ci表征流动人口的社会经济属性,包括性别、年龄、婚姻状况、受教育水平、职业类型等;Mi表示流动特征,包括迁移的总时间、迁移次数和迁移形式。其中,流动人口流入地城市选择也会受到其流出地特征和部分社会经济属性的影响,如公式(2)所示。
(二)数据来源与变量设置
本文采用的数据来源于国家卫生和计划生育委员会发布的“2017年全国流动人口卫生计生动态监测调查”。该调查以国家卫生和计划生育委员会2016年全员流动人口年报数据为抽样框,采取分层、多阶段、与规模呈比例的概率抽样方法,以在流入地居住一个月及以上,非本区(县、市)户口的15周岁及以上的流入人口为调查对象。调查内容涵盖个体社会经济属性、流出地和流入地信息、流动特征以及在流入地的住房类型等。调查范围覆盖31个省(区、市)和新疆生产建设兵团。
本文以新生代农村流动人口为研究对象,关注其在地级及以上城市的住房选择,故选取1980年至1999年出生、户口性质为农业或农业转居民的流动人口,排除了流出地为一线城市、现居住地为村委会和住房性质为自建房的流动人口。除去有缺失和遗漏项的样本,本文最终筛选得到的样本来自288个地级及以上城市(以下简称城市),共48806人。
新生代农村流动人口在流入地城市的住房权属是本文所关注的因变量。其中,本文将自购商品房、自购小产权住房和自购保障性住房归为“自有住房”尽管这三类自有住房对流动人口的排斥机制存在差异,考虑到本研究的重点是剖析流动人口的住房结果,即是否获得了住房产权,以及获得自购小产权房和自购保障性住房的样本占比较低,故在正文中不对自有住房类型做更为细致的划分。笔者也剔除了获得自购小产权房和自购保障性住房的样本,对模型进行了稳健性检验,模型结果基本一致。,其他类型归为“租房”。探究流出地和流入地的城市特征与流动人口在流入地住房产权获得的关系是本研究的重点。为了更好地反映不同流出地在社会、经济、制度等方面的差异,本文选取与社会经济发展水平、住房市场和政策等密切相关的城市等级(新一线城市、二线城市、三线城市、四线城市、五线城市)和县级行政区类型(市辖区、县级市和县域)来反映流动人口“地理出身”的差异。考虑到流入地城市对流动人口住房产权获得的影响与城市的房价和住房政策密切相关,本文采用城市等级(一线城市、新一线城市、二线城市、三线城市、四线城市、五线城市)这一综合指标来反映不同流入地城市在房价和住房政策上的差异。借鉴现有与流动人口住房产权获得相关的文献,本文将性别、年龄、婚姻状况、受教育水平、职业类型和性质、宅基地、承包地、家庭收入和共同居住的家庭人数等人口的社会经济属性以及迁移时间、次数和形式等流动特征作为控制变量。
四、实证分析与研究结果
(一)新生代农村流动人口的地理流动
总体上来看,新生代农村流动人口在城市间流动主要以城市群内部近距离迁移为主,且多集中在东部地区。与此同时,远距离的自西向东的迁移也较为常见。从城市群来看,京津冀、长三角、珠三角和成渝四大城市群在人口流动网络中均处于较为重要的位置,但各自表现出不同的特征。其中,珠三角地区人口流动呈“紧簇状”分布的多核空间格局,以短距离、城市群内部的流动为主。相较而言,京津冀、长三角地区人口流动的范围更为分散。京津冀地区除了城市群内部的流动外,与东北地区、华北地区的山东省、河南省以及长三角地区的多数城市形成多地联动的网络格局。而长三角地区呈现“百花齐放”的局势,形成以上海市为中心,南京市、苏州市、杭州市等多个新一线城市为副中心的“一主三副”多核心城际流动格局。此外,长三角地区还吸引了来自东北、西北、西南等多地区的人口,与多地区均形成了密切的人口流动联系。成渝城市群呈现以重庆、成都两个新一线城市为核心的人口流动格局,其流出人口多向东南沿海地区流动。从城市来看,北京、上海、广州和深圳四大一线城市是新生代农村流动人口的主要流入地,广泛吸引了来自周边地区的人口。不同的是,广州和深圳主要吸引珠三角城市群内部的人口,而北京、上海对人口的吸引力更大、辐射范围也更广。例如北京,除了吸纳京津冀地区的人口外,其流入人口的来源地还覆盖了东北、华北、华东等地区。

图1展示了新生代农村流动人口跨城市等级的流动格局。箭头的粗细代表在不同城市等级间流动的新生代群体占新生代农村流动人口总样本量的比重。总体来看,新生代农村流动人口的流动呈现出多样性和较强的阶梯性,以跨越城市等级向上流动的形式为主。从流出地来看,新生代农村流动人口主要来自较低等级城市,其中来自四线城市的流动人口占比最高,为34.07%,其次为来自三线城市和五线城市的流动人口,占比分别为25.52%和23.69%。将流出地为一线城市的人口排除后,来自新一线城市的流动人口所占样本的比例最低,仅为6.86%。从流入地来看,新一线城市和二线城市对新生代农村流动人口的吸引力较大,尤其是对来自三线、四线和五线城市的流动群体尤为明显。从跨越的等级来看,新生代农村流动人口的数量随着跨越城市等级的增加呈“先上升后下降”的趋势。向上跨越一级或两级的流动较为明显。例如,从四线城市到二线城市、从四线城市到三线城市以及从五线城市到二线城市等。另外,除了跨越城市等级流动的人口外,同一城市等级内部的流动也占一定比例,四线城市之间流动的占比最高,为8.24%。

表1展示了不同城市等级流入地中流动人口在流出地和人口社会经济属性等方面的差异。从流出地来看,除上述展示的来自不同城市等级的新生代农村流动人口在流入地选择上的差异外,来自不同类型县级行政区的流动人口在不同城市等级流入地中的占比也存在明显差异。来自市辖区和县级市流动人口的占比随流入地城市等级的降低呈下降趋势。来自县域的流动人口则呈现相反趋势,在等级较低的城市中所占的比重明显较大。从人口的社会经济属性来看,男性在一线城市的比重相对较低(44.04%),而在其他等级流入地无明显差异。已婚群体在低等级城市,如三线、四线和五线城市中的占比相对较高。受教育水平较高的群体比重随着城市等级的降低而下降。具有高中及中专、大专及以上学历的流动人口流入一线城市、新一线、二线城市的比例明显高于其他低等级城市,反映了人才的空间集聚。
(二)新生代农村流动人口的地理流动与住房产权获得
不同流出地和流入地的群体之间在住房产权获得上存在明显分化(表2)。总体来看,同等级、向上跨一级或向下跨一级的流动群体住房自有率相对较高。其中,来自新一线城市的流动人口在流入新一线城市时,获得住房产权的比例最高,流入四线城市和一线城市时次之;来自二线、三线、四线和五线的新生代农村流动人口住房自有率随着流入地城市等级的增加呈“先上升后下降”的趋势,其在三线、四线城市获得住房的比例相对较高。进一步分析可发现,即使是跨越等级相同的流动群体,其住房自有率也会因流出地城市等级的不同而产生差异。例如,都是同等级流动,来自新一线城市且流向新一线的流动人口获得住房产权的比例最高,为36.32%,而来自五线城市且流入五线的流动人口的住房自有率最低,为29.51%;对于向上跨一个等级流动的群体而言,流出地为二线城市、流入地为新一线的流动人口获得住房产权的比例最高,其次为来自五线城市流向四线和来自四线流向三线城市的流动人口;对于向下跨一级流动的群体,从二线城市向三线城市流动的群体住房自有率最高,为36.9%。总体而言,流动人口在流入地的住房自有率不仅因其在地理流动中跨越等级的不同而产生差异,即使是跨越相同等级,住房自有率也会因流出地城市在等级中所处的绝对位置不同而有所差异。

(三)新生代农村流动人口住房的影响因素
本文采用广义结构方程模型,对新生代农村流动人口的流入地选择和在流入地住房产权获得情况进行分析,模型结果在表3中以比值比的形式展示。表3中最右边一列展示了流出地的城市等级和县级行政区类型、流入地城市等级、人口的社会经济属性以及流动特征对住房产权获得的直接影响;左边的五列展示了流出地的城市等级和县级行政区类型,以及人口的部分社会经济属性对流入城市等级选择的影响。
流出地的城市等级和县级行政区类型以及流入地的城市等级在新生代农村流动人口的住房产权获得中发挥着重要作用。具体来看,流出地的城市等级越高,流动人口在流入地获得住房产权的概率就越大。来自新一线城市的新生代农村流动人口在流入地获得住房的概率分别是来自三线城市和四线城市流动人口的1.179和1.224倍。值得注意的是,来自二线城市的流动人口在流入地购房的概率比来自新一线城市的流动人口要高。可能的原因是,在流入地城市等级相同的情况下,相较于来自二线城市的流动人口,来自新一线城市的流动人口在低等级城市购房的意愿较低,这在一定程度上降低了其在流入地购房的可能性。另外,来自不同县级行政区的流动人口在住房产权获得上也存在明显差异。相较于来自县域的流动人口,来自市辖区的流动人口更容易获得住房,其在流入地获得住房产权的概率是来自县域流动人口的1.115倍。而来自县级市的流动人口与来自市辖区的流动人口在流入地住房产权获得上并无显著差异。从流入地的城市等级来看,流入城市的等级对新生代农村流动人口住房产权获得也存在显著影响。总体来说,流入城市等级与流入人口住房产权获得概率之间存在倒“U”形关系。相较于一线城市的流入人口,新生代农村流动人口在三线和四线城市获得住房产权的概率最大,分别为一线城市流动人口的4.119倍和4.601倍。这可能的原因是,在流出地城市等级和县域行政区类型相同的情况下,流向高等级城市的新生代农村流动人口在流入城市的经济压力和生活成本较大,感受到的“相对剥夺感”也明显增加,这在一定程度上抑制了他们的购房行为,降低了其在一线、新一线等高等级城市购房的可能性。
人口的社会经济属性在新生代农村流动人口的住房产权获得中也发挥着重要作用。性别、年龄、婚姻状况、教育水平和家庭收入均对新生代农村流动人口的住房产权获得具有显著影响。相较于男性新生代农村流动人口,女性群体在流入地住房产权获得上的优势凸显,这可能是因为女性群体在婚姻市场中具有明显“向上匹配”偏好,更容易通过婚姻获得住房产权。年龄与新生代农村流动人口的住房产权获得之间存在正相关关系,年龄每增加一岁,其在流入地获得住房产权的概率约为平均水平的1.006倍。已婚、具有较高教育水平和家庭收入的新生代农村流动人口在流入地更容易实现资本的积累,在流入地住房产权获得上的优势凸显。制度性因素在新生代农村流动人口的住房获得上依然发挥着重要作用。国家机关负责人或公务员、专业技术人员以及体制内工作者在流入地购买住房概率更高。与已有研究结果相似,承包地被视为一种土地资本,可增加流动人口的收入,在一定程度上促进新生代农村流动人口在流入地获得住房产权(Wang et al.,2020;Wu & Zhang,2018)。而宅基地的作用恰恰相反,拥有宅基地的流动人口在流入地购房的概率较低,反映了宅基地对流动人口在流入地住房获得的牵制作用(Tang et al.,2017)。从流动特征来看,在流入地共同居住的家庭成员数越多、离开流出地总时间越长的流动人口获得住房的概率越大。具有多次迁移经历的流动人口往往具有较强的不稳定性,更容易在流入地租房。相较于省内流动人口而言,跨省迁移的新生代农村流动人口受到的制度性和结构性排斥相对较大,这在一定程度上降低了其获得住房产权的概率。
新生代农村流动人口的流出地特征和社会经济属性对其流入地选择均具有显著影响。从流出地的城市等级来看,新生代农村流动人口更倾向在同等级城市间流动。如,相较于来自其他城市等级的流动人口,来自新一线城市的流动人口流入新一线城市的概率明显较大;相似地,来自二线、三线、四线和五线城市的流动人口均表现出明显的“同级流动”特征。除同级流动外,向上流动的趋势也较为显著。如,来自二线城市和三线城市的流动人口流向一线城市的概率明显高于来自其他等级的流动人口;来自五线城市的流动人口更倾向于流向二线和三线城市。值得注意的是,来自较低城市等级的流动人口而言(四线和五线城市)向上跨一个城市等级流动的概率相对较低。从流出地的县级行政区类型来看,相较于来自市辖区的流动人口,来自县级市、县域的流动人口流向一线城市的概率较低。这可能是因为县域所赋予流动人口的机会和资本较少,使得他们没有足够的资本流向大城市。从新生代农村流动人口的社会经济属性来看,不同性别、年龄、婚姻状况、受教育水平的流动人口之间在流入地选择上均存在明显的异质性。与女性新生代农村流动人口相比,男性群体流向一线城市的可能性较小。而年龄较大、受教育水平较高的新生代农村流动人口在人力资本、经济资本积累上具有明显优势,流向一线城市的可能性明显较大。已婚新生代农村流动人口在流入地的选择上相对较为保守,相较于一线城市,更容易流向二线城市和三线城市。
我们基于模型结果计算了流动人口的流出地特征和社会经济属性对住房产权获得的间接影响,结果如表4所示。流出地的城市等级通过影响流入地选择对住房产权获得有显著的间接作用。无论是来自哪个城市等级的流动人口,同级流动对住房产权获得产生正向的间接影响。其中,来自四线城市的流动人口流向四线城市时,对其住房产权获得的正向间接影响最大。对于来自较低等级城市的流动人口而言,选择适当的跨等级向上流动可以增大其购房的可能性。对来自五线城市的流动人口而言,相较于流向一线城市,选择流入二、三线城市会对住房产权获得产生正向的间接影响。对于来自高等级城市的群体,当其向下跨越多个等级流动时,获得住房产权的概率相对较高。例如,对于来自新一线城市的流动人口,相较于流入一线城市,流入四线和五线城市会增加其住房产权获得的概率,而流入二线城市则对住房产权获得产生负向的间接影响。
从流出地的县级行政区类型来看,相较于来自市辖区的新生代农村流动人口,来自县域对住房产权获得具有正向的间接影响。来自县域的流动人口选择流入等级较低的城市可增加其住房产权获得的概率,这一定程度上抵消了县域这一地理出身在住房产权获得上的劣势。与之类似,男性和已婚群体更倾向于选择流向低等级城市,从而增加其在流入地获得住房的可能性。受教育水平较高的群体选择流入较低等级城市的概率较低,故受教育水平通过流入地选择住房产权获得所产生的间接影响为负。主要原因是受教育水平较高的流动人口在流入地的选择时,更倾向于选择一线城市,这在一定程度上增加了购房难度,降低了其购房的概率。值得注意的是,尽管高受教育水平的流动群体更可能流入更高等级城市,从而对其住房产权的获得产生显著的负向影响,但相较于小学及以下学历的群体而言,高中及以上学历的流动人口通过流向新一线和二线城市对住房产权获得产生的负向间接影响要小于其对住房产权获得的正向直接影响。即从总效应来看,受教育水平的提高会促进住房产权获得。
五、结论与讨论
本文将地理空间视为影响社会不平等的重要因素,将其纳入到住房分化的研究中。本文基于2017年全国流动人口卫生计生动态监测调查数据,使用结构方程模型,不仅探析了来自不同流出地、不同流入地城市的新生代农村流动人口之间的住房分化,还揭示了流动人口的流出地和社会经济属性如何影响流入地选择,并进一步影响在流入地的住房产权获得。研究结果发现,不同流出地的新生代农村流动人口在流入地住房产权获得上存在明显分化:流出地的城市等级越高,流动人口在流入地购房的概率越大;来自市辖区的流动人口获得住房产权的概率明显高于来自县域的流动人口。这在一定程度上验证了本研究提出的第1个假设,证实了“地理出身”在流动人口住房产权获得中发挥重要作用。另外,本研究验证了流入地城市等级对住房产权获得的显著影响。与以部分城市为研究单元的研究发现两者之间存在线性关系的结论不同,本研究以中国各等级城市为解释变量,发现随着流入地城市等级的提高,流动人口住房产权获得的概率先增加后降低。其中,新生代农村流动人口获得住房产权的可能性在四线和三线城市最大,其次为五线城市、新一线城市和二线城市,而一线城市的流入人口住房获得的概率最低。这一结果也验证了本研究提出的第2个假设。
此外,本研究提出第3个假设,探究流动人口的流出地和人口社会经济属性如何影响其流入地选择,并进一步影响其在流入地的住房产权获得,揭示了流入地城市的中介效应。研究发现,流出地的城市等级通过影响流入地选择对住房产权获得产生显著的间接影响。无论是来自哪个城市等级的流动人口,当同级流动时,对住房产权获得产生正向的间接影响;对于来自较低等级城市的流动人口而言,适当的跨等级向上流动可以提高其购房的可能性;来自高等级城市的流动人口往往选择向下跨等级流动,其住房产权获得的概率也相应增加。相较于来自市辖区的流动人口,来自县域的流动人口更可能选择流入较低等级的城市,从而增加其在流入地获得住房产权的概率,一定程度上缓解了“县域”地理出身对住房产权获得的负向影响,使其对住房产权获得的总效应为正。具有较高教育水平的流动人口更倾向于流向大城市,尽管这在一定程度上增加了其生活成本和购房压力,对购房产生负向间接的影响,但受教育水平对住房产权获得正向的直接影响更大,使得总效应依然为正。一方面,这些群体利用其人力资本更容易克服在大城市所面临的经济、制度障碍,从而增加获得住房产权的概率;另一方面,大城市的“扶梯效应”也能够使此群体更充分地发挥自身的资本禀赋,增加人力资本积累和职业发展的机会,从而提高其在高等级城市购房的概率。
总结本文对中国新生代农村流动人口在流入地城市住房的研究,笔者认为以下几点值得从学术和政策层面进一步思考。
第一,流动人口能否在流入地获得住房,以及在什么等级的城市获得住房,成为透视现阶段社会财富差距和阶层分化的重要视角。长期以来,中国社会成员间的差异主要体现在收入、生活条件、政治和社会身份等方面,而近十几年来住房的市场化和金融化凸显了住房的财富效应和金融投资属性,使得原来作为生活资料的住房成为普通民众最重要的家庭资产,家庭间房产的差异能够解释三分之二的家庭财富不平等。此外,房价以及住房政策在城市间的差异,强调了在“哪里”获得住房产权的重要性。然而,受数据限制,本研究无法对流动人口在流出地或其他城市的住房资产进行综合考量。在未来研究中,为揭示流动人口社会财富差距和阶层分化,应考虑流动人口在流出地和其他城市的住房资产。
第二,社会经济资源和发展机会在不同区域、城市间分配的不均衡强调了地理空间对个体生活机遇、资本积累的重要性。基于生活机遇、空间机会结构、“扶梯”区域等概念和理论,本研究探究了流出地和流入地对流动人口住房产权获得的影响,强调不同来源地赋予流动人口的机会结构、资本的差异,提出“地理出身”的概念,并论述其在住房分化中的作用机制。对应于社会学家所提出的根植于家庭背景的先赋性因素——社会出身,“地理出身”也可视为一种先赋性因素,源于地区之间的不均衡发展,并深嵌于个体社会经济属性中,影响流动人口的住房结果。此外,空间机会结构、扶梯区域等概念和理论还强调个体可以通过选择将自己置于蕴藏更好机会的地理空间中,增加将其禀赋转化为社会地位的概率。不同于“地理出身”这一先赋性因素,地理流动可以视为一种“自致因素”,是个体摆脱不平等的资源配置的空间结果的约束,进入到资源配置更具优势的地理环境,发挥人力资本,实现个体资本积累、重塑社会地位的重要途径。
第三,人口的地理流动成为农村流动群体与农民群体之间分化的主要原因,而本研究通过揭示新生代农村流动群体内部在地理流动与住房上的分化,对深入理解地理流动与社会流动的关系具有重要意义。那些流向“扶梯区域”、进入到资源配置更具优势的地理空间的新生代农村流动人口往往能够获得较多的职业发展机会、较高的工资水平和生活质量,更容易实现相对向上的社会流动。然而,流动的目的地并不是任意选择的,而是流动人口在综合考虑流入地城市的“拉力”和“阻力”作用下,根据自身的资本禀赋、能力以及发展需求做出的理性选择。相较而言,那些来自发达地区、拥有较高的教育水平和收入的群体更容易流向大城市,通过搭乘“扶梯”实现社会地位的提升。本研究也发现,只有来自等级较高的城市或具有较高教育水平的流动人口才更有可能流入具有“扶梯效应”的大城市。而人力资本较高、来自市辖区的流动群体能够更好地调整社会经济回报与住房产权获得之间存在的张力,在向大城市流动时,他们不仅获得了较高的职业地位和收入,还更有可能克服大城市经济和制度障碍,在流入地获得住房产权,实现真正意义上的社会流动。
总体而言,本文在前人研究的基础上,将流出地、流入地纳入住房分化研究框架中,探究资源在不同地理空间上的配置不均等对个体发展产生的结构性影响,从而导致的住房分化和社会分层现象。此外,在芝加哥城市生态学派强调社区的邻里效应,以及韦伯和雷克斯、摩尔、帕尔等为代表的“新韦伯主义”所关注城市内部空间区隔的基础上,本研究尝试将“空间社会学”的相关理论应用到更大空间尺度的分析中,进一步深化对社会不平等地理空间根源的理解,对优化流动人口住房政策具有启发意义。流出地和流入地的社会经济发展水平、住房市场和政策等与流动人口的住房选择密切相关。从这个意义上讲,国家制度和政策应在流出地和流入地同步推进,缩小空间机会结构差异或机遇不平等引起的住房不平等。除了要在流入地加强对流动人口保障性住房的支持和实现公共服务的均等化外,也应正视不同流出地的出生地效应,加强对落后地区基础教育、设施的投入,改善地区间发展的不均衡。
本研究存在的一些局限可在未来的研究中进一步深化和拓展。首先,本研究的对象为在流入地没有获得户籍的流动人口,未将那些已经获得本地户口的新市民纳入分析范围,在未来研究中可进一步加强对新市民群体的关注,揭示流动人口与新市民群体之间的住房分化及影响因素。其次,本研究主要关注流动人口在流入地的住房结果,而购房决策实际上是一个复杂的过程,未来可开展访谈调研,采用定性分析的方式进一步剖析地理流动与购房决策的复杂互动。此外,尽管流入地住房分化为我们透视现阶段社会财富差距和阶层分化提供了重要视角,但同时也应意识到,流动人口可能在流出地或其他城市购买住房。未来的研究需统筹考虑流动人口在流入地、流出地和在其他城市的住房情况。
(注释与参考文献从略,全文详见《社会学研究》2022年第2期)